Green Energy and Sustainability ISSN 2771-1641

Green Energy and Sustainability 2025;5(2):0005 | https://doi.org/10.47248/ges2505020005

Original Research Open Access

Practical implications of Paul Younger’s Technical and Managerial Guidelines for Catchment Scale Management in Ohio’s coal bearing region: the relationship between water and sediment chemistry and biological recovery at a catchment scale

Natalie A. Kruse Daniels , Saruul Damdimbal

  • Environmental Studies Program, Ohio University, Athens 45701, USA

Correspondence: Natalie A. Kruse Daniels

Academic Editor(s): Tony Roskilly

Received: Nov 17, 2024 | Accepted: Mar 4, 2025 | Published: Apr 10, 2025

© 2025 by the author(s). This is an Open Access article distributed under the terms of the Creative Commons License Attribution 4.0 International (CC BY 4.0), which permits unrestricted use, distribution, and reproduction in any medium or format, provided the original work is correctly credited.

Cite this article: Kruse Daniels NA, Damdimbal S. Practical implications of Paul Younger’s Technical and Managerial Guidelines for Catchment Scale Management in Ohio’s coal bearing region: the relationship between water and sediment chemistry and biological recovery at a catchment scale. Green Energy Sustain 2025; 5(2):0005. https://doi.org/10.47248/ges2505020005

Abstract

Mine water, a product primarily from pyritic weathering in coal mining regions, alongside oxidative weathering of other minerals, has caused destructive changes in water chemistry, sediment chemistry, and biological communities globally. Younger and Wolkersdorfer (2004) detail the impacts of mining on the freshwater environment. This study looks back to over twenty years of data collected in the coal-bearing region of Ohio showing impairments suggested by Younger and Wolkersdorfer (2004). This study focused on correlations between water and sediment chemistry and its impact on aquatic biology in the coal mined areas of four watersheds that have been severely, moderately, and lightly impacted by acid mine drainage. Sediment and water chemistry collected over a number of years at 62 sites have been correlated with a metric of biological health, specifically that of benthic macroinvertebrates. The study results suggest that contaminants including Al, Fe, and Mn in the water column are the most likely stressors to impede biological recovery supporting the findings of Younger and Wolkersdorfer (2004).

Keywords

acid mine drainage, coal mining, macroinvertebrate

1. Introduction

Mine water is a globally occurring phenomena in regions of current and historic mining, particularly where there are sulfide minerals occurring in the ore body or the surrounding strata. Mine water or mine drainage can occur as acidic, neutral, or alkaline drainage based on the local geology. Acid mine drainage (AMD) is described as sulfate-rich drainage produced from oxidative weathering of sulfide minerals, primarily pyrite [1] with insufficient buffering capacity in the surrounding strata to increase pH. Pyrite is common in natural rock strata of coal-producing regions (e.g., [2,3]). The water bodies receiving mine drainage suffer from increased acidity where there is no buffering capacity in the surrounding strata, metal enrichment, and increased suspended solids that affect aquatic biological communities [4-11].

Hedin et al. [12] and Kelly [9] concluded that low pH increases dissolution of heavy metals from minerals and alters water chemistry. Metals also settle out as flocs on the streambed sediment. Sediment is comprised of clays, clasts, organic matters, trace elements, metal oxides, and hydroxides formed by surface runoff and natural weathering and it is perceived as an important habitat for aquatic communities and plants [13]. Trace elements in sediment are introduced over time via various mechanisms [13]. Sediments act as a sink for mining related contaminants [14] and such an environment becomes a poor habitat to most aquatic organisms. Aqueous metals precipitate or sorb to the surface of metal oxides once the solubility of hydrous oxides of Fe and Al increases beyond the solubility limit [8,9]; increasing pH decreases metal solubility [3].

Al, Fe, and Mn precipitate as oxides or hydroxides in water. Iron oxyhydroxide, FeOH3, precipitates out at pH 3 while aluminum hydroxide, Al(OH)3, precipitates at pH 4 [15]. In contrast, manganese oxyhydroxide, Mn(OH)2, precipitates at a higher pH of 6. These metal oxyhydroxides cover the streambed with yellow-colored flocs [3,15,16], while hydroxylated aluminum sulfate cover the streambed with white precipitate [17]. Suspended metal precipitates can be a major source of metal flux particularly during high flow periods [18].

High concentrations of both suspended and dissolved metals from mine drainage in combination with acidic water impairs the stream communities, specifically the benthic macroinvertebrates [1,12,18-20]. Metal precipitates limit the stream biofilm formation process [21]. This causes a lack of life-supporting nutrients such as phosphorus that seriously affects the stream food web [22]. These stressors alter the food web, the community structure and function, and abundance, diversity, and survival of benthic macroinvertebrates [19].

The utmost goal of stream remediation is biological recovery [23]. Biological recovery not only depends on improving water chemistry, but also on biological and physical factors [23,24]. Efforts to remediate and monitor streams impaired by mine drainage in southeastern Ohio have been conducted by Ohio Department of Natural Resources Division of Mineral Resources Management (ODNR – DMRM), Ohio University, and watershed groups since the 1990s [25]. As a result, 407 km of streams met the target pH of 6.5 as of 2022 [25]. As part of the monitoring, scientists use biological indicators such as Macroinvertebrate Aggregated Index for Streams [26,27] and Index of Biological Integrity (IBI) [28] to identify stream biological recovery.

Younger and Wolkersdorfer [2] develop a decision framework for long-term mine water management at a catchment/watershed scale. The monitoring upon which this study is based is built upon this framework understanding that the cumulative effect of multiple sources of mine drainage, alongside the natural attenuation and sources of alkalinity, plus geographic factors such as watershed size and habitat will dictate which sources of mine drainage are critical to treat. This speaks to the need for catchment-wide planning for treatment to accrue the benefits of treatment and achieve biological recovery to appropriate standards.

Although there are numerous studies about AMD impacts on stream biology, relatively few studies were completed at a region-wide, catchment scale to understand aqueous and sediment chemistry and its impact on stream biology. Such studies can inform the use of catchment-wide characterization and management as suggested in Younger and Wolkersdorfer [2]. Some of these few studies were conducted in southeastern Ohio. A study at Hewett Fork and Pierce Run by DeRose [29] suggested that Hewett Fork water quality increased through sediment deposition and Pierce Run water quality improved by groundwater input and alkaline treatment. DeRose’s finding suggested that sediment Al, Fe, and Mn in Hewett Fork was higher than Pierce Run due to metal precipitation resulting from Carbondale Doser treatment and inputs from tributaries [29]. Korenowsky [30] also reported higher metal concentrations near the doser treatment area at Hewett Fork. In 2013, Kruse et al. studied factors that affect water and sediment chemistry at Hewett Fork, Raccoon Creek Watershed. The results indicated that Impaired zone had the lowest MAIS scores and highest dissolved metals and sediment Fe. The impaired zone was defined by both velocity and alkalinity coming from Carbondale Doser and natural sources of alkalinity such as groundwater and tributaries [5]. Low velocity increased Al deposition while adequate alkalinity caused Fe deposition [5].

Studies suggest that aqueous chemistry had more adverse impact on benthic macroinvertebrates than sediment chemistry [1,5]. DeNicola and Stapleton [1] showed that caddisflies accumulated higher levels of heavy metals, specifically Fe and it was concluded that aqueous chemistry impacted MAIS more than sediment chemistry. Researchers also found out that acidity impacted aquatic organisms more than metal toxicity based on laboratory and field work analysis [31]. They concluded that mortality rate of Ctenodaphnia species were more sensitive to acidity leaching than impacts from Kruse sediment metals concentrations [31].

In general, researchers suggest that sediment Al, Fe, and Mn are typically abundant in the sediments of AMD-impaired streams [13]. Sediment Al, Cu, Fe, Mn, and Zn are significantly correlated with low benthic macroinvertebrate index scores [6,11,32], while aqueous stressors including acidity, conductivity, and metals including Al, Fe, Mn, and Zn impair macroinvertebrates [5,33-37]. It is reported that long term exposure to acidity can cause loss of sensitive organisms [34,37].

The purpose of this study is to investigate the correlations between aqueous and sediment chemistry and biological recovery in mining impaired watersheds in impaired, transition, recovered, and unimpaired zones to better inform catchment-scale management. This study examines correlations between water chemistry, sediment chemistry, and MAIS scores in Monday Creek, Sunday Creek, Raccoon Creek, and Leading Creek Watersheds in the coal-bearing region of Ohio.

2. Methods

2.1 Study area

This study focuses on four watersheds with extensive mining impairments and ongoing treatment and reclamation: Leading Creek, Monday Creek, Raccoon Creek, and Sunday Creek watersheds in southeastern Ohio. These watersheds can represent most of the active remediation efforts of AMD in Ohio [25].

Figure 1 and Supplemental Information Table S1 show a total of 62 study sites from these four watersheds. The sites represent a mix of four zones: impaired, transition, improved, and unimpaired recovery zones according to the return of the biological activity as defined by Kruse et al. [5], reliant upon the Macroinvertebrate Aggregrated Index for Streams (MAIS) rapid bioassessment of benthic macroinvertebrates [27].

Figure 1 Study sites in Monday Creek, Sunday Creek, Leading Creek and Raccoon Creek Watersheds in southeastern Ohio.

Site selection of the “Impaired zone” is based on areas with poor biological recovery with no positive change in MAIS and the MAIS scores below the target score of 12. The “Transition zone” is areas of recovering biological activities with a positive trend in MAIS, yet the score still stays under the MAIS target of 12. The “Improved zone” is areas of return of biological activities where a positive trend of MAIS with time is evident and the MAIS target is predicted to meet in the long run. Finally, the “Unimpaired zone” represents areas consistently meeting MAIS targets [25].

Raccoon Creek Watershed occupies a total of 1770.2 square kilometers of Western Allegheny Plateau eco-region in southeastern Ohio and is 180.2 km long [38]. It is estimated that a total of 10,364 hectares of underground mining and 8,721 hectares of surface mining disturbed the watershed [5]. Varying sources of AMD impair the watershed. To treat the AMD, over $16 million dollars and over 20 projects have been completed in the Raccoon Creek watershed [25]. As a result, 254 monitored stream kilometers met the target pH value of 6.5 as of 2022 [25] and the Ohio Environmental Protection Agency has redesignated much of the watershed as warmwater or exceptional warmwater habitat, defined as the 25–75 percentile and top 25 percentile of sites in the state, respectively [39]. For the purpose of this study, Raccoon Creek is divided into four sub-watersheds: Hewett Fork, Little Raccoon Creek, Raccoon Creek Mainstem, and East Branch. Additional information on treatment and reclamation projects are available in Bowman et al. [25].

Monday Creek Watershed drains 302.7 square km area, is 43.5 km long, and contains Perry, Hocking and Athens Counties in Appalachian Ohio. There are nearly 5988 hectares of abandoned underground mines and 1283 hectares of abandoned surface mines [25]. Restoration efforts started in 1994 with the Monday Creek Restoration Project. As of 2022, a total of 16 projects were completed and 43 km of stream met the target pH of 6.5 [25]. With the installation of these treatment and reclamation projects, much of the mainstem of Monday Creek now meets MAIS targets.

The Sunday Creek Watershed drains 360 square km area and is 46.6 km long flowing through Athens, Morgan, and Perry Counties in southeastern Ohio. It has 8 tributaries: West Branch, East Branch, Big Bailey Run, Jackson Run, Greens Run, Congress Run, Dotson Creek, and Eighteen Run, most of which are located in the coalfields of southeast Ohio [25]. Since 2004, restoration efforts have been focused on sealing abandoned mine entrances, capturing the streams, diverting the flows, and controlling the source [25]. In 2013, Pine Run Doser was installed in Perry County to treat acidic water from Pine Run with alkaline addition. Alkaline treatment of Pine Run prevents AMD from reaching the West Branch [25]. As a result of reclamation efforts, total of 71 km of stream along the mainstem and West Branch meet the reclamation target pH target of 6.5 by 2022 [25]. Much of the watershed now meets target MAIS scores.

The Leading Creek Watershed occupies 388 square km area and is 48 km long. It is estimated that more than 809 hectares of abandoned mines are located within the watershed and more than 32 km of streams have been affected by AMD. Thomas Fork is the largest tributary to Leading Creek. It drains 83.9 square km area, runs 26 km long, and encompasses most parts of Meigs County. Thomas Fork is the major AMD tributary to Leading Creek with underground mining covering 12.5% of its watershed. In 2012 and 2015, the Thomas Fork Doser and Casto Doser were installed at Thomas Fork Watershed in order reduce the acidity and metals through treatment with calcium oxide. By 2022, 13 km of Thomas Fork met the target pH of 6.5, but biological targets are still behind [25].

To examine the effects of AMD impaired sediment metals on benthic macroinvertebrates, sediment collection and metal analysis were completed from 2011 to 2015 at all sites at least once. These data have been reported in Korenowsky [30], Bedu-Mensah [40], Hawkins [11], Schliech [41], Damdinbal [42]. Water chemistry data from 1996 to 2024, MAIS scores from 2006 and 2024, and Index of Biotic Integrity (IBI) scores from 1999 to 2023 were downloaded from the web-based Ohio Watershed Data geodatabase run by Ohio University [43].

2.2 Water chemistry and field parameters

Water chemistry data used in this study is based on data from 1996 to the most recent data (2023 or 2024, depending on the site) from the online Ohio Watershed Data geodatabase [43]. Water samples for lab analysis were analyzed at the Ohio Department of Natural Resources (ODNR) Division of Mineral Resources Management (DMRM) laboratory for acidity, alkalinity, conductivity, total dissolved solids, dissolved oxygen, pH, sulfate, and suspended solids alongside Al, Ca, Cl, Mn, Mg, Fe, and K. Samples for metal analysis were preserved with 20% v/v nitric acid to a pH of <2 and all samples were kept at <4 °C prior to analysis. Analysis met laboratory QAQC procedures and standard sample holding times were observed. Field parameters were gathered at each site. A Myron Ultrameter 6P calibrated following manufacturer guidelines was used to measure specific conductivity (μS/cm), oxidation-reduction potential (ORP, mV), pH, total dissolved solids (TDS, ppm), and temperature (°C).

While the water quality data were collected over a span of many years, the QAQC procedures were kept consistent following the quality assurance protocol used by ODNR.

2.3 Sediment collection, digestion, and analysis

Sediment chemistry data was collected from 32 field sites and remaining 33 sites were characterized based on the sediment chemistry data reported by Hawkins [11], Bedu-Mensah [40], Schliech [41], Korenowsky [30], and Damdinbal [42] in past studies.

The sediment collection and sampling procedure followed Ohio Environmental Protection Agency (OEPA) sediment sampling guide [44] and USEPA standard operating procedure number 2016 [45] for sediment collection and preservation [45]. Sediment samples were gathered from the top 10 cm of sediment with a stainless-steel trowel or auger from at least 5 locations at each site, then homogenized in a stainless-steel bowl or bucket. Sediments were preferentially gathered from depositional areas. Equipment was thoroughly cleaned between sites. Sediment samples were placed in a labelled plastic zip-lock bags and transported and stored below 4 °C. Sediment digestion and analysis followed EPA method #3050B for sediment digestion [46]. The prepared and digested sediments were analyzed for Al, As, Ca, Cd, Co, Cr, Cu, Fe, K, Mg, Mn, Na, Pb, Sr, and Zn at the Ohio University Institute for Sustainable Energy and the Environment (ISEE) using Inductively Coupled Plasma – Optical Emission Spectroscopy (ICP-OES).

2.4 Biological analysis

Biological data used in this study was collected from the web-based Ohio Watershed Data database [43]. The biological sampling is undertaken by Ohio watershed groups on regular basis and the web-based database is maintained by Voinovich School of Leadership and Public Service, Ohio University. Biologic data in this study relies on Macroinvertebrate Aggregate Index for Streams (MAIS), a method commonly used to indicate health of the stream benthic macroinvertebrate community [18] adapted to the Western Allegheny Plateau by Johnson [27] and the Index of Biotic Integrity, a fish metric used by Ohio Environmental Protection Agency [28]. Local watershed groups, Ohio Department of Natural Resources, and Ohio University personnel conduct biological assessments, identify macroinvertebrate specimens to family level and fish specimens to species and calculated MAIS and IBI scores following standard methods.

2.5 Statistical analysis

To examine correlations between sediment metals, water chemistry, and stream biological health, Spearman correlation analysis and multiple linear regression analysis were applied to the data using SPSS. To find mean differences of parameters between the four recovery zones, Kruskal-Wallis nonparametric test when data normality for ANOVA test was not met and ANOVA with a Tukey post-hoc analysis when the assumptions were met. For all tests, the significance level of P < 0.05 is applied.

3. Results

The results presented here describe aqueous and sediment chemistry of four biological recovery zones and their relationship to MAIS and IBI scores.

3.1 Aqueous chemistry

Key indicators of AMD impairment alongside major ions have been monitored long term in the study watersheds. Summary statistics of the water quality data included in this analysis (Table 1) suggest a relationship between zone and water quality throughout this long-term dataset.

Table 1 Summary statistics of water quality data measured from 1996–2024 separated by zone of recovery for all study watershed points. M is the mean, Mdn is the mean, and n is the count of measurements.

pH was significantly lower in the Impaired zone than the Transition zone where it was significantly lower than the pH in the Improved and Unimpaired zones. The pH was not significantly different between the Improved and Unimpaired zones. Conductivity was similar in the Impaired and Transition zones, while conductivity was significantly lower in the Improved zone and lower still in the Unimpaired zone. Sulfate results were akin to conductivity results, however, all four zones were significantly different than each other, with lower sulfate concentrations as the zones moved towards improvement (Figure 2).

Figure 2 pH, conductivity, and sulfate concentration by zone of improvement. pH increased with improvement while conductivity and sulfate fell with improvement.

Likewise, metals that are often considered key indicators of AMD impairment were also significantly different across zones (Figure 3). Iron, aluminum, and manganese were each significantly different between the Impaired, Transition, and Improved zones, while manganese was additionally significantly different in the Unimpaired zone. Mean values for iron, aluminum, and manganese decreased with improvement. While not generally considered indicators of AMD impairment, calcium and manganese were also significantly different between all four zones with lower concentrations moving towards improvement. Sodium was significantly different between the Impaired, Transition, and Improved zones, but were similar between the Improved and Unimpaired zones. Potassium held a less-obvious relationship to zones of improvement, while there were statistically significant differences between zones.

Figure 3 Aqueous metal concentrations by zone of recovery. Iron, manganese, aluminum, calcium, magnesium, and sodium are all statistically different between the Impaired and Transition zones and the Improved and Unimpaired zones.

Elevated concentrations of some metals in the Impaired and Transition zones indicate AMD impairment. While it is well understood that iron, aluminum, and manganese concentrations are elevated in waters impaired by AMD, the elevated concentrations of calcium and magnesium in the Impaired and Transition zones suggest that chemical addition through treatment and reclamation projects are included in the chemical signal in treated watersheds. A study in Raccoon Creek reveals that higher concentrations of metals and suspended solids were most likely to occur near treatment systems [6,11]. The pattern of sodium in relationship to the recovery zone is less clear and may be affected by sites’ proximity to roadways where road salt is applied for snow and ice control.

3.2 Water chemistry and biological interactions

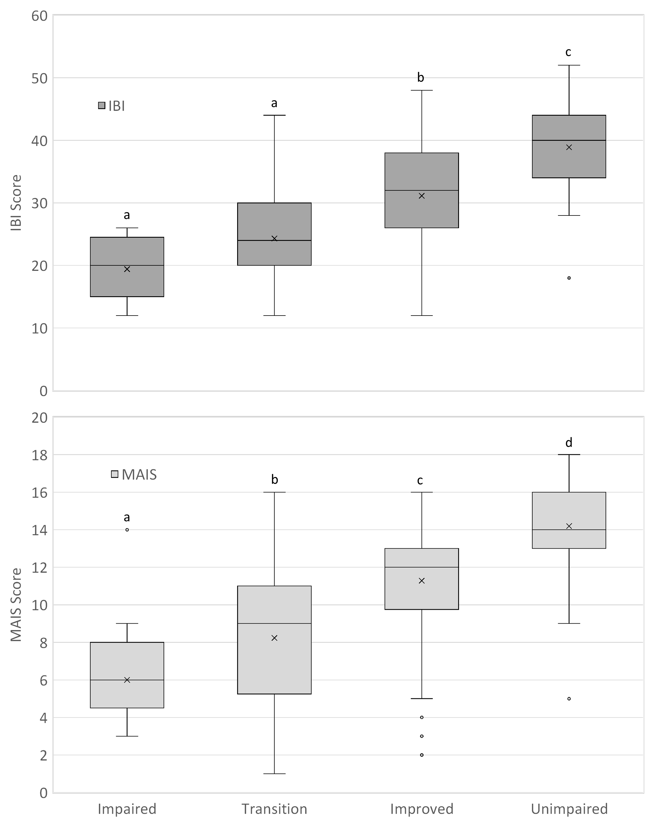
Both biological indices used in this analysis varied significantly by zone of recovery except that IBI scores were not significantly different between the Impaired and Transition zones (Figure 4).

Figure 4 IBI (fish) and MAIS (aquatic macroinvertebrate) metrics by recovery zone. IBI scores were significantly different between recovery zones, except for between the Impaired and Transition zones. MAIS was significantly different between each recovery zone.

Both macroinvertebrate (MAIS) and fish (IBI) indices were correlated with water quality parameters (Table 2). A significant negative correlation between MAIS and sulfate, calcium, iron, aluminum, and manganese confirms the role of sulfate, iron, aluminum, and manganese in biological impairment due to AMD. Calcium is likely negatively correlated with MAIS due to impairment that is prevalent in the mixing zone downstream of treatment systems. Correlations between IBI and water quality are consistent with the correlations with MAIS, except that manganese was not significantly correlated with IBI.

Table 2 Spearman Correlation between MAIS, IBI and Aqueous Chemistry. Shaded cells indicate significance at a 95% confidence level.

Past studies also suggested that macroinvertebrates are seriously affected by high acidity, conductivity, metals including Al, Fe, Mn, and Zn [5,33-37]. Long term exposure to AMD lead to loss of sensitive biological organisms or replacement by tolerant species [34,37]. High conductivity adversely impacts biological populations in both treated and untreated streams in mining regions [47].

A study at East Branch also concluded that acidity and Al correlated negatively with MAIS scores [6,11]. Another study by Bedu-Mensah [40] found that Fe and Mn serious impact on MAIS scores. It is suggested that dissolved Al might be a key contaminant for limiting aquatic communities [48,49]. Driscoll et al. [50] stated that dissolved Al causes death in fish eggs while Witters el al. [49] concluded that Al causes serious respiration problem in trout population. Studies also state that Mn contamination can impair aquatic life [51]. These findings are consistent with the findings presented here and the supports the planning framework that Younger and Wolkersdorfer [2] present that encourages planning at a catchment scale to ensure that the cumulative effect of treatment and reclamation projects leads to biological recovery rather than piecemeal treatment projects that do not meet recovery goals.

3.3 Sediment chemistry

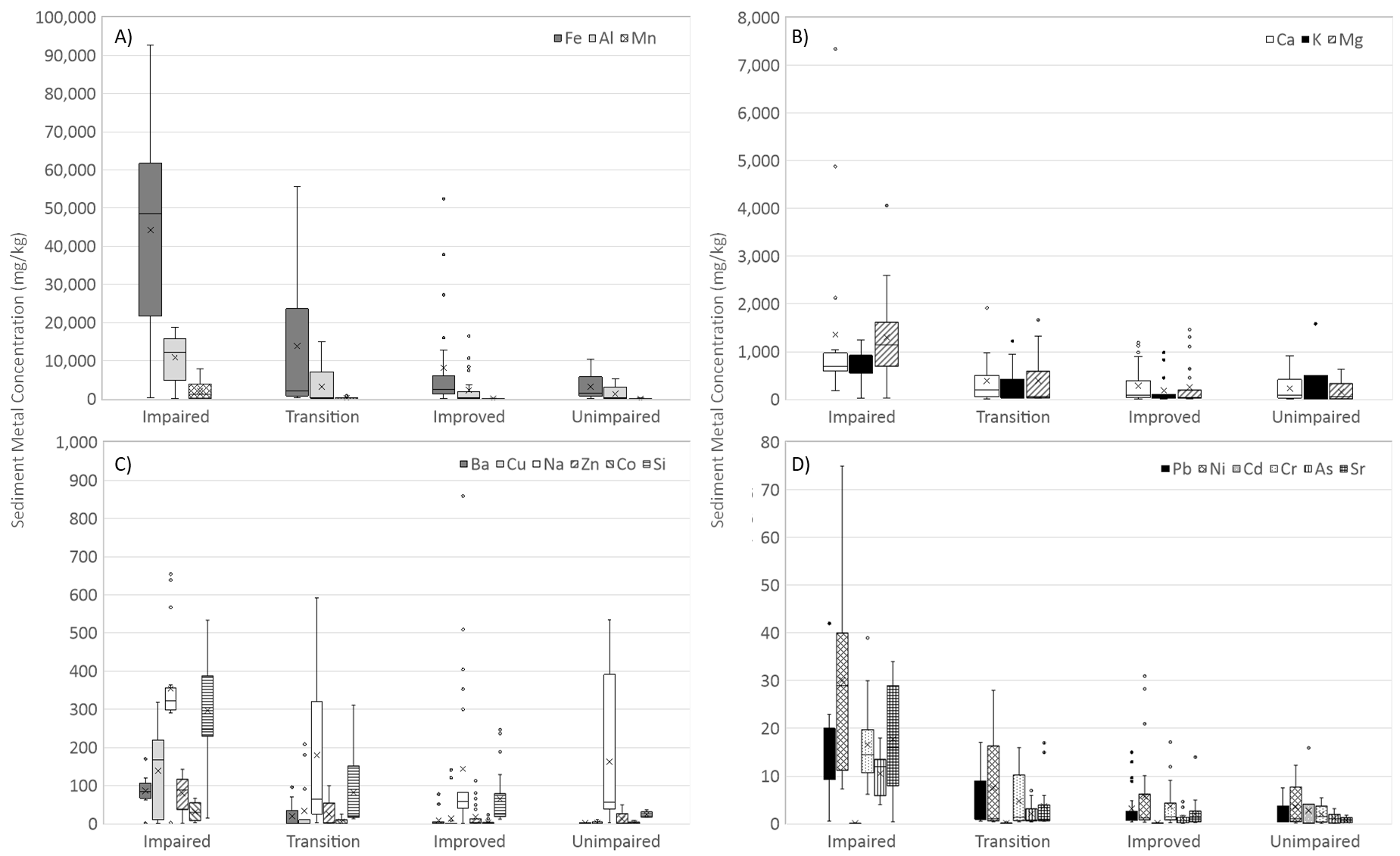
The highest sediment metal and metalloid (here colloquially referred to as metals) concentrations were Fe, Al, and Mn with concentrations of 92,800 mg/kg, 18,740 mg/kg, and 7,927 mg/kg, respectively in Impaired zone sites. The next highest sediment metal concentrations were of Ca, Mg, and Na reaching 7,346 mg/kg, 4,066 mg/kg, and 859 mg/kg in the Impaired zone. The previous section also indicates that Al, Ca, Fe, Mg, Mn, and Na in the water column had the highest concentrations in the Impaired zone, consistent with the widespread influence of mining, the use of caustics in treatment and reclamation, and the signature of regional geology (Table 1).

The sediment metal concentrations for these major metals (Fe, Al, Mn, Ca, Mg, Na) alongside most trace metals were observed in decreasing order in the Transition, Improved, and Unimpaired zones (Table 3, Figure 5), although most metals were only significantly different between the Impaired zone and the other zones (Table 4). Only Ba and Si were not different between recovery zones.

Table 3 Mean Sediment Metal Concentrations (mg/kg) by Recovery Zones.

Figure 5 Sediment metal and metalloid concentrations (mg/kg) by recovery zone. All elements are significantly different between zones except for Ba and Si.

Table 4 Sediment metals by statistical similarity between recovery zone. Letters indicate statistical similarity (noted with the same letter) or difference (noted with dissimilar letters) between zones.

Most of the sediment metals correlated to each other with rho above 0.75 or above (p-value < 0.05), shown in Table 5. This suggests that there are similar sources of sediments and similar processes for precipitation of metals from the water column.

Table 5 Correlation of sediment metal concentrations across all sites. There is a strong correlation between sediment metals broadly with few exceptions. Shaded cells indicate significance at a 95% confidence level. Darker shading indicates R2 values greater than or equal to 0.60.

3.4 Sediment chemistry and biological interactions

With one limited exception (Cu and IBI), there was no statistical relationship between sediment chemistry and either MAIS or IBI scores. This pattern has been identified by several researchers in the past [5,11,31]) showing that the aqueous chemistry has a stronger relationship with biological quality than that of the sediments. While this study did not show a relationship between sediment metals and biological indices, sediment metal concentrations were different amongst the zones of recovery, suggesting that sediments as a sink for metals as a stream recovers downstream of treatment and reclamation projects does support biological recovery, consistent with the findings of Kruse et al. [5]. This also suggests that despite benthic macroinvertebrate use of substrate for shelter and food, the sediment metal concentrations found in this study were not a key indicator of change in biological quality.

3.5 Aqueous and sediment chemistry relations

Broadly, aqueous and sediment chemistry are strongly correlated. pH is negatively correlated with all sediment metals except for Ca, while most other aqueous chemical components are positively correlated with sediment metal concentrations (Table 6). Interestingly, aqueous Fe was not correlated with any sediment metal concentrations.

Table 6 Spearman Correlation Matrix for Aqueous and Sediment Chemistry. Values are Spearman’s rho. Shaded cells represent relationships that are significant (P < 0.05).

4. Conclusions

Successfully recovered zones in AMD-impaired streams had increased pH and low sulfate and metal concentrations in water column and sediment. In contrast, impaired zone had the highest conductivity, sulfate, and metals and the lowest pH.

“Transition” zone was a clear indication of water chemistry improvement due to successful alkaline treatments. This zone was consistently statistically different than that of the Impaired zone, showing that the chemistry was indeed changing from the most impaired sites to the improved ones. These parameters had high variation still, while in the Improved and Unimpaired zones, conductivity and sulfate and metal concentrations were lower and less variable.

Sediment metals specifically Al, Fe and Mn were highest in Impaired zone, followed by Ca, Mg, and Na. Sediment metals remain relatively high in Transition zone compared continuing to drop with improvement. Sediment metals were poorly correlated with biological indicators, but were highly correlated with other sediment metals and with aqueous chemical parameters.

The study suggests that negative impacts of AMD towards benthic macroinvertebrates and fish could be attributed to a combination of low pH and elevated conductivity, sulfate, Al, Fe, and Mn concentrations, alongside the effects of water quality changes directly downstream of alkaline addition where Ca and Mg particularly remain high. Previous studies also suggested that multiple stressors cause more hazards to biological community than a single contaminant [52], in line with the conclusions of Younger and Wolkersdorfer [2].

Younger and Wolkersdorfer [2] present a framework for monitoring and characterizing diffuse mine water pollution with a focus on a three-legged stool of water quality, sediment quality, and biological quality. This can and should serve as a basis for planning catchment scale management of AMD to understand that planning treatment with a recovery goal and location at which partners agree that goal should be met is fundamental to recovery. This study examines these three factors across the key mining impaired watersheds of Ohio through nearly three decades of monitoring, treatment, and reclamation. The data and analysis presented here support key points highlighted by Younger and Wolkersdorfer [2]:

  • Biological indicators are a key tool for prioritizing treatment and reclamation while also being the primary indicator of recovery.

  • The complex chemistry of AMD requires reduction of a number of parameters to achieve recovery.

  • Monitoring of both chemistry and biology are critical in determining in stream processes and in planning catchment scale management that leads to biological recovery.

  • Some treatment may be prioritized based on social or historical priorities rather than biological recovery.

Supplementary Materials

The following supplementary materials are available on the website of this paper: Table S1. 62 Study Sites. Sediment data for 32 sites by Damdinbal (DM) and 30 sites by DeRose (DR) (2011), Hawkins (HK) (2015), Bedu-Mendah (BM) (2015), Schliech (SH) (2015), Korenowsky (KO) (2012).

Declarations

Availability of Data and Material

The original data presented in the study are openly available in Ohio Watershed Data at www.watersheddata.com.

Funding

Funding for this work came from the AEP Foundation and the Ohio Department of Natural Resources.

Competing Interests

The authors have declared that no competing interests exist.

Author Contributions

Natalie Kruse Daniels contributed to conceptualization, methodology, formal analysis, writing – review and editing, visualization, and supervision.

Saruul Damdimbal contributed to conceptualization, methodology, investigation, formal analysis, writing – original draft.

Acknowledgement

The authors acknowledge the support of Raccoon Creek Partnership and Rural Action for site access and environmental staff of the Ohio University’s Voinovich School of Leadership and Public Service for logistics.

Author’s Note:

I had the utmost honor of studying with Paul Younger at Newcastle University during my PhD as a researcher after completion of my doctorate. Paul took a risk to take on an unknown American student and guided and supported my learning. Paul instilled an ethic of data driven work rooted in community that I am fortunate to continue in the Appalachian coalfields of Ohio. – Dr. Natalie Kruse Daniels.

References

1. DeNicola DM, Stapleton MG. Impact of acid mine drainage on benthic communities in streams: the relative roles of substratum vs. aqueous effects. Environ Pollut. 2002;119(3):303-315. [Google Scholar] [CrossRef]
2. Younger PL, Wolkersdorfer C. Mining impacts on the fresh water environment: technical and managerial guidelines for catchment scale management. Mine Water Environ. 2004;23:s2-s80. [Google Scholar] [CrossRef]
3. Skousen JG, Sexstone A, Ziemkiewicz PF. Daniels Reclamation of drastically disturbed lands. Madison, WI, USA: American Society of Agronomy; 2000. In:. [Google Scholar] [CrossRef]
4. Hogsden KL, Harding JS. Consequences of acid mine drainage for the structure and function of benthic stream communities: a review. Freshw Sci. 2012;31(1):108-120. [Google Scholar] [CrossRef]
5. Kruse NA, DeRose L, Korenowsky R, Bowman JR, Lopez D, Johnson K, et al. The role of remediation, natural alkalinity sources and physical stream parameters in stream recovery. J Environ Manage. 2013;128:1000-1011. [Google Scholar] [CrossRef]
6. Kruse N, Hawkins C, López DL, Johnson K. Recovery of an acid mine drainage-impacted stream treated by steel slag leach beds. Mine Water Environ. 2019;38(4):718-734. [Google Scholar] [CrossRef]
7. Lambert DC, McDonough KM, Dzombak DA. Long-term changes in quality of discharge water from abandoned underground coal mines in Uniontown Syncline, Fayette County, PA, USA. Water Res. 2004;38(2):277-288. [Google Scholar] [CrossRef]
8. Niyogi DK, Lewis WM Jr, McKnight DM. Litter breakdown in mountain streams affected by mine drainage: biotic mediation of abiotic controls. Ecol Appl. 2001;11(2):506-516. [Google Scholar] [CrossRef]
9. Kelly M. Mining and the freshwater environment. London, UK: Elsevier Applied Science; 1988. [Google Scholar]
10. Lottermoser B. Mine wastes: characterization, treatment, and environmental impacts. Berlin, Germany: Springer-Verlag; 2003. [Google Scholar]
11. Hawkins CM. The Recovery of an AMD-impacted Stream Treated by Steel Slag Leach Beds: A Case Study in the East Branch of Raccoon Creek. Ohio: Ohio University; 2015. [Google Scholar]
12. Hedin R, Nairn R, Kleinman R. Passive treatment of coal mine drainage. United States Department of the Interior BoM. 1994. [Google Scholar]
13. Gbolo P, Lopez DL. Analysis of trace elements pollution within streambed sediments from the Shade River Watershed, southeastern Ohio. Environ Earth Sci. 2015;73:7193-7204. [Google Scholar] [CrossRef]
14. Baudo R. Sediments: Chemisrty and toxicity of in-place pollutants. Boca Raon, FL: Lewis Publishers; 1990. [Google Scholar]
15. Watzlaf GR, Schroeder KT, Kleinmann RL, Kairies CL, Nairn RW. The passive treatment of coal mine drainage. United States Department of Energy National Energy Technology Laboratory Internal Publication. 2004;1-72. [Google Scholar]
16. Harding J, Boothroyd I. Freshwaters of New Zealand. Christchurch, New Zealand: The Caxton Press; 2004. In:. [Google Scholar]
17. López D, Overly B, Robbins E, Carrol K, editor. Proceedings of Sudbury 99 Mining and the Environment II; 1999 1999 Sept 12 – 16; Sudbury, Ontario, Canada..
18. Smith KS, Huyck HLO. The Environmental Geochemistry of Mineral Deposits: Part A: Processes, Techniques, and Health Issues Part B: Case Studies and Research Topics. Littleton, CO, USA: Society of Economic Geologists; 1999. In:. [Google Scholar] [CrossRef]
19. Herr C, Gray N. Sampling riverine sediments impacted by acid mine drainage: problems and solutions. Environ Geol. 1997;29:37-45. [Google Scholar] [CrossRef]
20. Scullion J, Edwards R. The Effect of Pollutants from the Coal Industry on the Fish Fauna of a Small River in the South Wales Coalfield. Environ Pollut A. 1980;21:141. [Google Scholar] [CrossRef]
21. Cherry D, Currie R, Soucek D, Latimer H, Trent G. An integrative assessment of a watershed impacted by abandoned mined land discharges. Environ Pollut. 2001;111(3):377-388. [Google Scholar] [CrossRef]
22. Smucker NJ, Vis ML. Acid mine drainage affects the development and function of epilithic biofilms in streams. J N Am Benthol Soc. 2011;30(3):728-738. [Google Scholar] [CrossRef]
23. Underwood BE, Kruse NA, Bowman JR. Long-term chemical and biological improvement in an acid mine drainage-impacted watershed. Environ Monit Assess. 2014;186(11):7539-7553. [Google Scholar] [CrossRef]
24. Yoder CO, Rankin ET. Monitoring Ecological Condition at Regional Scales. Dordrecht, the Netherlands: Springer. In:. [Google Scholar] [CrossRef]
25. Bowman J, Sullivan N, Johnson K. 2019-2022 Stream Health Report. An evaluation of water quality, biology, and acid mine drainage reclamation in five watersheds: Raccoon Creek, Monday Creek, Sunday Creek, Huff Run, and Leading Creek. Voinovich School of Leadership and Public Affairs at Ohio University; 2023. [Google Scholar]
26. Smith E, Voshell J. Studies of benthic macroinvertebrates and fish in streams within EPA Region 3 for development of biological indicators of ecological condition. Virginia Polytechnic Institute and State University; 1997. [Google Scholar]
27. Johnson K. Field and Laboratory Methods for using the MAIS (Macroinvertebrate Aggregated Index for Streams) in Rapid Bioassessment of Ohio Streams [Internet]; 2007 [accessed 2024 Oct 1]. Available from: https://dam.assets.ohio.gov/image/upload/epa.ohio.gov/Portals/35/credibledata/references/MAIS_training_manual_2007.pdf.
28. Ohio Environmental Protection Agency. Biological Criteria for the Protection of Aquatic Life: Volume III. Standardized Biological Field Sampling and Laboratory Methods for Assessing Fish and Macroinvertebrate Communities. Section DoSWEA. 2015. Contract No.: OEPA Technical Report EAS/2015-06-01. [Google Scholar]
29. DeRose L. Physical and Chemical Controls on Natural and Anthropogenic Remediation of Two Streams Impacted by Acid Mine Drainage in the Raccoon Creek Watershed. Ohio [Master's thesis]: Ohio University; 2011. [Google Scholar]
30. Korenowsky R. Hydrogeochemical analysis of alkalinity and heavy metal inputs on water and sediment quality of an acid mine drainage remediated stream: Hewett Fork. southeastern Ohio: Ohio University; 2012. [Google Scholar]
31. Dsa JV, Johnson KS, Lopez D, Kanuckel C, Tumlinson J. Residual toxicity of acid mine drainage-contaminated sediment to stream macroinvertebrates: relative contribution of acidity vs. metals. Water Air Soil Pollut. 2008;194:185-197. [Google Scholar] [CrossRef]
32. Walls LD, Li LY, Hall KJ. Trace metal contamination due to acid rock drainage and its impacts on the fish-bearing Pennask Creek watershed, British Columbia. Water Air Soil Pollut. 2013;224:1-20. [Google Scholar] [CrossRef]
33. Carroll KC, López DL, Stoertz MW. Solute transport at low flow in an acid stream in Appalachian Ohio. Water Air Soil Pollut. 2003;144:195-222. [Google Scholar] [CrossRef]
34. Hall RJ, Likens GE, Fiance SB, Hendrey GR. Experimental acidification of a stream in the Hubbard Brook experimental forest, New Hampshire. Ecology. 1980;61(4):976-989. [Google Scholar] [CrossRef]
35. Kowalik RA, Cooper DM, Evans CD, Ormerod SJ. Acidic episodes retard the biological recovery of upland British streams from chronic acidification. Glob Change Biol. 2007;13(11):2439-2452. [Google Scholar] [CrossRef]
36. Kruse NA, Bowman JR, Mackey AL, McCament B, Johnson KS. The lasting impacts of offline periods in lime dosed streams: a case study in Raccoon Creek, Ohio. Mine Water Environ. 2012;31(4):266-272. [Google Scholar] [CrossRef]
37. Rosemond A, Reice S, Elwood J, Mulholland P. The effects of stream acidity on benthic invertebrate communities in the south-eastern United States. Freshw Biol. 1992;27(2):193-209. [Google Scholar] [CrossRef]
38. Rice C, Flemming L, Hoy B. Acid Mine Drainage Abatement and Treatment Plan for the Middle Basin of the Raccoon Creek Watershed. Ohio: Institute for Local Government Administration and Rural Development A; 2003. [Google Scholar]
39. Ohio Environmental Protection Agency. Biological and Water Quality Study of the Raccoon Creek Watershed, 2016: Athens, Gallia, Hocking, Jackson, Meigs, and Vinton Counties. Section DoSWAaM. 2020. Report No.: OEPA Technical Report AMS/2016-RACCO-2. [Google Scholar]
40. Bedu-Mensah H. Influence of water quality and sediment transport on biological recovery downstream of lime doser systems: Ohio University. 2015.
41. Schleich K. Geochemical Modeling of Processes Affecting Water and Sediment Chemistry and their Relationship to Biological Recovery in an Acid Mine Drainage Remediated Stream [Master's thesis]: Ohio University. 2014.
42. Damdinbal S. Relationship between Aqueous and Sediment Chemistry and its Impact on Biological Recovery in Acid Mine Drainage-Impaired Streams: Monday Creek, Sunday Creek, Thomas Fork, Raccoon Creek, and Hewett Fork [Master's thesis]: Ohio University. 2016.
43. Ohio Watershed Data. Ohio University Voinovich School of Leadership and Public Service [Internet]; 2025 [cited 2024 Oct 21]. Available from: www.watersheddata.com.
44. Ohio Environmental Protection Agency. Sediment Sampling Guide and Methodologies. (2nd Edition). . 2012. [Google Scholar]
45. USEPA. SOP# 2016. Sediment Sampling. Technical Standard Operating Procedure. 1994. [Google Scholar]
46. USEPA. EPA method 3050B: acid digestion of sediments, sludges, and soils. SW-846: Test Methods for Evaluating Solid Waste, Physical/Chemical Methods. Washington, DC: U.S. Environmental Protection Agency; 1995. [Google Scholar]
47. Cormier SM, Suter GW, Zheng L, Pond GJ. Assessing causation of the extirpation of stream macroinvertebrates by a mixture of ions. Environ Toxicol Chem. 2013;32(2):277-287. [Google Scholar] [CrossRef]
48. Gensemer RW, Playle RC. The bioavailability and toxicity of aluminum in aquatic environments. Crit Rev Environ Sci Technol. 1999;29(4):315-450. [Google Scholar] [CrossRef]
49. Witters HE, VanPuymbroeck S, Stouthart AJHX, Bonga SEW. Physicochemical changes of aluminium in mixing zones: Mortality and physiological disturbances in brown trout (Salmo trutta L.). Environ Toxicol Chem. 1996;15(6):986-996. [Google Scholar] [CrossRef]
50. Driscoll CT Jr, Baker JP, Bisogni JJ Jr, Schofield CL. Effect of aluminium speciation on fish in dilute acidified waters. Nature. 1980;284(5752):161-164. [Google Scholar] [CrossRef]
51. Lasier P, Winger P, Bogenrieder K. Toxicity of manganese to Ceriodaphnia dubia and Hyalella azteca. Arch Environ Contam Toxicol. 2000;38:298-304. [Google Scholar] [CrossRef]
52. D. Vinebrooke R, L. Cottingham K, Norberg MS, Jon, I. Dodson S, C. Maberly S, Sommer U. Impacts of multiple stressors on biodiversity and ecosystem functioning: The role of species co-tolerance. Oikos. 2004;104(3):451-457. [Google Scholar] [CrossRef]
Download PDF

Share this article

About Us Journals Join Us Submit Fees Contact